luck18¹ÙÍø

ÊÖ³Öʽ¹âÆ×ÒÇÊÖ³ÖʽºÏ½ðÆÊÎöÒǺϽðÆÊÎöÒÇ
¹ÉƱ´úÂ룺300165 ÆóÒµÓÊÏä Ͷ×ÊÕß¹ØÏµ
18ÐÂÀûluck¡¤(Öйú)-¹Ù·½ÍøÕ¾

ʳÎïÇå¾²

ÄúÄ¿½ñËùÔÚÒ³£ºÊ×Ò³ > ½â¾ö¼Æ»® > ʳÎïÇå¾²

HPLC-ICPMSÁªÓòⶨ´óÃ×Öй¯ÐÎ̬

Ðû²¼ÈÕÆÚ£º2021/11/17 15:44:35  µã»÷´ÎÊý£º98424

Ëæ×Ź¤ÒµµÄÉú³¤£¬£¬£¬£¬£¬£¬¹¯ÎÛȾԽÀ´Ô½ÑÏÖØ ¡£¡£¡£¡£¡£ ¡£¡£ÓÉÓÚ¹¯µÄÎÛÈ¾ÌØÕ÷£¬£¬£¬£¬£¬£¬²»ÒׯÊÎö¼°×ªÒÆ ¡£¡£¡£¡£¡£ ¡£¡£Ôì³ÉÁËʳÎïÖи»¼¯ÁËÖÖÖÖº¬¹¯»¯ºÏÎ£¬£¬£¬£¬£¬´Ó¶øµ¼ÖÂÖÖÖÖÂýÐÔ¡¢¼±ÐÔ¹¯Öж¾ÊÂÎñƵ³ö ¡£¡£¡£¡£¡£ ¡£¡£ÏÖÔÚ£¬£¬£¬£¬£¬£¬Ê³ÎïÖй¯µÄÖ÷Òª±£´æÐÎʽ¿É·ÖΪÎÞ»ú¹¯ºÍÓлú¹¯Á½´óÀ࣬£¬£¬£¬£¬£¬ÆäÖÐÓлú¹¯µÄ¶¾ÐÔÔ¶´óÓÚÎÞ»ú¹¯£¬£¬£¬£¬£¬£¬ÎÞ»ú¹¯Ö÷ÒªÊǶÔÉöÔàÓж¾ÐÔ×÷Ó㬣¬£¬£¬£¬£¬¶øÓлú¹¯Ö÷Òª¶ÔÄÔ×é֯ΣÏÕ½ÏÁ¿´ó ¡£¡£¡£¡£¡£ ¡£¡£Òò´Ë¶Ô¹¯ÐÎ̬µÄ¼à²âÏÔµÃÓÈΪÖ÷Òª ¡£¡£¡£¡£¡£ ¡£¡£

±¾ÎIJο¼¹ú¼ÒÎÀÉúºÍÍýÏëÉúÓýίԱ»áÐû²¼µÄ¡¶GB 5009.17-2014 ʳÎïÖм׻ù¹¯µÄ²â¶¨¡·£¬£¬£¬£¬£¬£¬Í¨¹ýHPLC-ICPMSÁªÓ㬣¬£¬£¬£¬£¬½ÓÄÉC18Öù£¬£¬£¬£¬£¬£¬Ê¹ÓõȶÈÏ´Íѵķ½·¨¶ÔÏ¡Ëá½þÌáºóµÄ´óÃ×¾ÙÐÐÁËÆÊÎö£¬£¬£¬£¬£¬£¬Í¬Ê±¶ÔÑùÆ·½ÓÄÉÁ˼ӱ괦Öóͷ££¬£¬£¬£¬£¬£¬ÇÒ¼Ó±ê½ÓÄÉÂÊÓÅÒì ¡£¡£¡£¡£¡£ ¡£¡£²âÊÔЧ¹ûÅú×¢£¬£¬£¬£¬£¬£¬¸ÃÒªÁìÄܹ»¿ìËÙ׼ȷµØ¾ÙÐдóÃ×ÑùÆ·Öй¯ÐÎ̬µÄÆÊÎö ¡£¡£¡£¡£¡£ ¡£¡£

1.ÒÇÆ÷¼ò½é

±¾ÒªÁì½ÓÄÉSkyray Instrument LC-310EÓëICP-MS 2000EÁªÓ㬣¬£¬£¬£¬£¬½ÓÄÉÒ»¼üʽÊý¾ÝÊÕÂÞ¡¢¾«×¼Ê½Æ×ͼ¶¨Î»¼°Ç¿Ê¢µÄÈí¼þÆ×ͼ´¦Öóͷ£¹¦Ð§£¬£¬£¬£¬£¬£¬¿ÉÖª×ã²î±ðµÄÐÎ̬²âÊÔÐèÇó£¨Èçͼ1£© ¡£¡£¡£¡£¡£ ¡£¡£

18ÐÂÀûluck¡¤(Öйú)-¹Ù·½ÍøÕ¾

ͼ1.HPLC-ICPMSÁªÓò⹯ÐÎ̬µÄÆÊÎöÒÇ


2.²âÊÔÔ­Àí

ÑùÆ·ÈÜÒº¾­ÓÉǰ´¦Öóͷ££¬£¬£¬£¬£¬£¬ÓÉHPLC½øÑù¿Ú½øÑù£¬£¬£¬£¬£¬£¬¾­É«Æ×ÖùÊèÉ¢£¬£¬£¬£¬£¬£¬Í¨¹ýÎí»¯Æ÷Îí»¯ºóËÍÈë¸ßεÈÀë×ÓÌåÖУ¬£¬£¬£¬£¬£¬¸ÉÔï¡¢Ô­×Ó»¯¡¢µçÀ룬£¬£¬£¬£¬£¬ÔªËØÀë×Ó¾­½Ó¿ÚÊÒ½øÈëÖÊÆ×ÒÇ£¬£¬£¬£¬£¬£¬Í¨¹ýÀë×Ó͸¾µÏµÍ³¡¢ÖÊÁ¿ÆÊÎöÆ÷¼°¼ì²âÆ÷£¬£¬£¬£¬£¬£¬¼ì²âÆ÷¶ÔÏìÓ¦ÔªËØÀë×Ó×ö³öÏìÓ¦£¨Ã¿ÃëÀë×Ó¼ÆÊýcps£¨counts per second£©£¬£¬£¬£¬£¬£¬¾­Èí¼þ´¦Öóͷ££¬£¬£¬£¬£¬£¬ÏìӦǿ¶ÈºÍʱ¼ä×é³ÉµÄ·åÃæ»ýÓëÏìÓ¦×éÊèÉ¢×ÓŨ¶È³ÉÕý±È¹ØÏµ¾ÙÐж¨ÐÔ¶¨Á¿ÆÊÎö ¡£¡£¡£¡£¡£ ¡£¡£

3.ʵÑ鲿·Ö

3.1ʵÑé×°±¸¼°ÊÔ¼Á

ÒºÏàÉ«Æ×-µç¸ÐñîºÏµÈÀë×ÓÌåÖÊÆ×ÁªÓÃÒÇ£¨luck18¹ÙÍø£©£»£» £»£»£»

µç×ÓÌìÆ½£¨BSA224S£¬£¬£¬£¬£¬£¬Èü¶àÀû˹£©£»£» £»£»£»

É«Æ×Öù£¨Ultimate  XB-C18£¬£¬£¬£¬£¬£¬4.6¡Á150mm£¬£¬£¬£¬£¬£¬5¦Ìm£©£»£» £»£»£»

³¬´¿Ë®ÏµÍ³£¨Millipore£¬£¬£¬£¬£¬£¬µç×èÂÊΪ18.25M¦¸¡¤cm£©£»£» £»£»£»

ÑÎËᣨÓż¶´¿£¬£¬£¬£¬£¬£¬Scharlau£©£»£» £»£»£»

°±Ë®£¨Óż¶´¿£¬£¬£¬£¬£¬£¬ÉϺ£¾§´¿ÊÔ¼ÁÓÐÏÞ¹«Ë¾£©£»£» £»£»£»

ÒÒËáï§£¨Óż¶´¿£¬£¬£¬£¬£¬£¬°¢À­¶¡»¯Ñ§ÊÔ¼Á£©£»£» £»£»£»

L£­°ëë×°±ËᣨÉúÎï´¿£¬£¬£¬£¬£¬£¬°¢À­¶¡»¯Ñ§ÊÔ¼Á£©£»£» £»£»£»

¼×´¼£¨É«Æ×´¿£¬£¬£¬£¬£¬£¬Oceanpak É«Æ×´¿ÊÔ¼Á£©£»£» £»£»£»

¹¯ÐÎ̬±ê×¼ÈÜÒº£¨Ë®Öй¯GBW£¨E£©083186¡¢¼×»ù¹¯GBW£¨E£©083364¡¢ÒÒ»ù¹¯GBW£¨E£©081524£¬£¬£¬£¬£¬£¬Öйú¼ÆÁ¿¿ÆÑ§Ôº£©£»£» £»£»£»

³¬Éù²¨£¨KH-500E,À¥É½ºÌ´´£©£»£» £»£»£»

Ë«¹¦Ð§Ë®Ô¡ºãÎÂÕñµ´Æ÷£¨SHA-B,½­ËÕ¹ú»ª£©£»£» £»£»£»

¸ßËÙÀëÐÄ»ú£¨TG16G,¿­ÌØ£© ¡£¡£¡£¡£¡£ ¡£¡£

3.2ÑùƷǰ´¦Öóͷ£

³ÆÈ¡´óÃ×ÑùÆ·1.0g£¨×¼È·ÖÁ0.001g£©£¬£¬£¬£¬£¬£¬ÖÃÓÚ15mLµÄÀëÐĹÜÖУ¬£¬£¬£¬£¬£¬¼ÓÈë10mLµÄÑÎËáÈÜÒº£¨5mol/L£©¾²ÖÃסËÞ ¡£¡£¡£¡£¡£ ¡£¡£ºó¾­³£ÎÂˮԡÕñµ´60min£¬£¬£¬£¬£¬£¬ÓÚ4¡æÏÂÒÔ8000r/minµÄתËÙ¾ÙÐÐÀëÐÄ15min ¡£¡£¡£¡£¡£ ¡£¡£È¡ÉϲãÇåÒº2mLÖÁ5mLµÄÈÝÁ¿Æ¿ÖУ¬£¬£¬£¬£¬£¬ÓÃÏ¡°±Ë®µ÷ÀíPHµ½7.0£¬£¬£¬£¬£¬£¬ÔÙ¼ÓÈë0.1mLµÄL£­°ëë×°±Ëᣨ10g/L£©£¬£¬£¬£¬£¬£¬×îºóÓó¬´¿Ë®¶¨ÈÝÖÁ¿Ì¶È²¢Ò¡ÔÈ ¡£¡£¡£¡£¡£ ¡£¡£ÓÃ0.45¦ÌmµÄÓлúϵÂËĤ¹ýÂ˺󣬣¬£¬£¬£¬£¬´ý²â ¡£¡£¡£¡£¡£ ¡£¡£

3.3Á÷¶¯Ï༰¹¯ÐÎ̬±ê×¼ÈÜÒºÅäÖÆ

3.3.1Á÷¶¯ÏàµÄÅäÖÆ

60mmol/LÒÒËáï§£«0.1%L-°ëë×°±Ëᣫ5%¼×´¼£º³ÆÈ¡4.627gÒÒËáï§£¬£¬£¬£¬£¬£¬1.21gL-°ëë×°±ËáÓÚ100mLÈÝÁ¿Æ¿ÖУ¬£¬£¬£¬£¬£¬¼ÓÈëÉÙÁ¿µÄ³¬´¿Ë®²¢ÓÚµçÈȰåÉϼÓÈÈʹÆäÍêÈ«ÏûÈÚ£¬£¬£¬£¬£¬£¬ÀäÈ´ºó¶¨ÈÝÖÁ100mL ¡£¡£¡£¡£¡£ ¡£¡£½«¶¨ÈݺõÄÈÜÒºÒÆÈë1000mLµÄÁÜϴҺƿÖУ¬£¬£¬£¬£¬£¬Í¬Ê±¼ÓÈë50mLµÄ¼×´¼£¬£¬£¬£¬£¬£¬¶¨ÈÝÖÁ1L ¡£¡£¡£¡£¡£ ¡£¡£¾­0.45¦ÌmµÄÓлúϵÂËĤ¹ýÂ˺󣬣¬£¬£¬£¬£¬ÓÚ³¬Éù²¨³¬ÉùÍÑÆø30min£¬£¬£¬£¬£¬£¬ÏÖÓÃÏÖÅä ¡£¡£¡£¡£¡£ ¡£¡£

3.3.2¹¯ÐÎ̬±ê×¼ÈÜÒº£º

ÈýÖÖ¹¯±ê×¼ÈÜÒº½ÓÄÉÁÜϴҺƾ֤ÌݶÈŨ¶ÈµÄ·½·¨ÒÀ´Î±»Ï¡ÊÍΪ1.0?g/L¡¢2.0.?g/L¡¢4.0?g/L¡¢8.0?g/L¡¢10.0?g/L »ìÏý±ê×¼ÈÜÒº£¬£¬£¬£¬£¬£¬Í¬Ê±ÅäÖÆ5?g/LÈýÖÖ¹¯ÐÎ̬µÄµ¥±êÈÜÒº£¬£¬£¬£¬£¬£¬ÓÃÀ´ÅбðÿÖÖ¹¯ÐÎ̬µÄ³ö·åʱ¼ä ¡£¡£¡£¡£¡£ ¡£¡£

3.4ʵÑéÌõ¼þ

3.4.1É«Æ×Ìõ¼þ

     É«Æ×Ìõ¼þÏê¼û±í1 ¡£¡£¡£¡£¡£ ¡£¡£

±í1. HPLCÆÊÎöÌõ¼þ

²ÎÊý

²ÎÊýÉ趨

É«Æ×Öù

Ultimate  XB£­C18£¬£¬£¬£¬£¬£¬5¦Ìm£¬£¬£¬£¬£¬£¬150¡Á4.6mm ¡£¡£¡£¡£¡£ ¡£¡£

Á÷¶¯Ïà

60mmol/LÒÒËáï§£«0.1%L-°ëë×°±Ëᣫ5%¼×´¼£¨pH=7.0£© ¡£¡£¡£¡£¡£ ¡£¡£

Á÷ ËÙ

1.0mL/min

Öù ÎÂ

25¡æ

½øÑùÁ¿

100¦ÌL

Ï´ÍѳÌÐò

µÈ¶ÈÏ´ÍÑ

3.4.2ÖÊÆ×Ìõ¼þ

     ICP-MSÆÊÎöÌõ¼þ¼û±í2 ¡£¡£¡£¡£¡£ ¡£¡£

±í2.ICP-MSÆÊÎöÌõ¼þ

²ÎÊý

²ÎÊýÉ趨

²ÎÊý

²ÎÊýÉ趨

¹¦ ÂÊ

1300W

µÈÀë×ÓÆø

13L/min

¸¨ÖúÆø

1.06L/min

ÔØ Æø

1.2L/min

²ÉÑùÉî¶È

16

ÆÊÎöģʽ

±ê׼ģʽ

´ý²âÖÊÁ¿Êý

202amu

פÁôʱ¼ä

10ms


3.5ʵÑéЧ¹û

3.5.1±ê×¼ÇúÏß

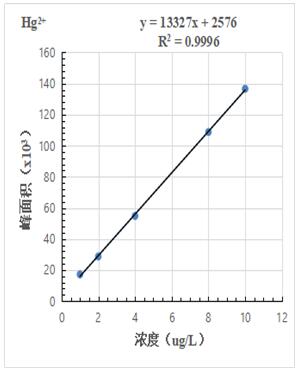
ƾ֤»ìÏý±ê×¼ÈÜҺŨ¶È1.0?g/L¡¢2.0.?g/L¡¢4.0?g/L¡¢8.0?g/L¡¢10.0?g/L ½øÑù»ñµÃÉ«Æ×ͼ£¬£¬£¬£¬£¬£¬ÅÌËãÆä·åÃæ»ý£¬£¬£¬£¬£¬£¬ÒÔŨ¶ÈºÍ·åÃæ»ý»æÖƱê×¼ÇúÏߣ¬£¬£¬£¬£¬£¬ÏßÐÔÏà¹ØÏµÊý¾ù´óÓÚ0.999£¬£¬£¬£¬£¬£¬Ð§¹ûÏê¼ûͼ2-1~2-3 ¡£¡£¡£¡£¡£ ¡£¡£

18ÐÂÀûluck¡¤(Öйú)-¹Ù·½ÍøÕ¾

ͼ2-1.Hg2+±ê×¼ÇúÏß 

18ÐÂÀûluck¡¤(Öйú)-¹Ù·½ÍøÕ¾

ͼ2-2.MetHg±ê×¼

18ÐÂÀûluck¡¤(Öйú)-¹Ù·½ÍøÕ¾

ͼ2-3.EtHg±ê×¼ÇúÏß

3.5.2É«Æ×Êèɢͼ

1.0?g/L¡¢2.0.?g/L¡¢4.0?g/L¡¢8.0?g/L¡¢10.0?g/L ¹¯ÐÎ̬»ìÏý±ê×¼ÈÜÒºÊèɢɫͼÆ×Èçͼ3Ëùʾ£¬£¬£¬£¬£¬£¬ÆäÖÐÎÞ»ú¹¯£¨Hg2+£©¡¢¼×»ù¹¯£¨MetHg£©¡¢ÒÒ»ù¹¯£¨EtHg)Ïà¶Ô±£´æÊ±¼ä»®·ÖΪ118s¡¢185s¡¢379s£¬£¬£¬£¬£¬£¬´ÓÆ×ͼµþ¼ÓͼÉÏ¿ÉÒÔ¿´³ö£¬£¬£¬£¬£¬£¬ÈýÖÖ¹¯ÐÎ̬³ö·åʱ¼äÎȹÌ£¬£¬£¬£¬£¬£¬ÇÒÊèÉ¢¶È½ÏºÃ ¡£¡£¡£¡£¡£ ¡£¡£

18ÐÂÀûluck¡¤(Öйú)-¹Ù·½ÍøÕ¾

ͼ3. ¹¯ÐÎ̬»ìÏý±ê×¼ÈÜÒºÊèɢͼÆ×

      3.5.3 ¼ì³öÏÞ

          Èçͼ4ËùʾΪ1.0?g/L¹¯ÐÎ̬»ìºÍ±ê×¼ÈÜÒºÊèɢͼÆ×£¬£¬£¬£¬£¬£¬ÒÔ¸÷ÐÎ̬·åÖÜΧ»ùÏß´¦µÄ3±¶ÐÅÔë±È£¨S/N)·å¸ß¶ÔÓ¦µÄŨ¶È×÷Ϊ¼ì³öÏÞ£¬£¬£¬£¬£¬£¬ÈÜÒºÖÐHg2+¡¢MetHg¡¢EtHg»®·ÖΪ0.112?g/L¡¢0.0718?g/L¡¢0.0698?g/L ¡£¡£¡£¡£¡£ ¡£¡£

18ÐÂÀûluck¡¤(Öйú)-¹Ù·½ÍøÕ¾

ͼ4. 1.0?g/L¹¯ÐÎ̬»ìÏý±ê×¼ÈÜҺͼÆ×

3.5.4 ²âÊÔЧ¹û

ÒÔ´óÃ×ÑùƷΪÊÔÑù£¬£¬£¬£¬£¬£¬¾ÙÐÐÏ¡Ëá½þÌᣬ£¬£¬£¬£¬£¬Í¬Ê±ÎªÁË¿¼²ìÒªÁìµÄ׼ȷÐÔ£¬£¬£¬£¬£¬£¬²¢¶Ô´óÃ×ÊÔÑù½ÓÄÉÁ˼ӱêµÄ·½·¨£¬£¬£¬£¬£¬£¬²âÊÔЧ¹ûÏê¼û±í3 ¡£¡£¡£¡£¡£ ¡£¡£

±í3   ´óÃ×ÑùÆ·¼°ÑùÆ·¼Ó±êЧ¹û

×é·ÖÃû³Æ

Ï¡ÊͺóŨ¶È

ԭҺŨ¶È

¼Ó±êºóŨ¶È

¼Ó±ê½ÓÄÉÂÊ

£¨?g/L£©

£¨?g/kg£©

£¨?g/L£©

£¨%£©

ÎÞ»ú¹¯

0.227

5.68

5.84

112

¼×»ù¹¯

δ¼ì³ö

ND

4.50

90

ÒÒ»ù¹¯

δ¼ì³ö

ND

4.67

93


18ÐÂÀûluck¡¤(Öйú)-¹Ù·½ÍøÕ¾

ͼ5. ´óÃ×ÑùÆ·¼°ÑùÆ·¼Ó±ê5.0?g/LͼÆ×

4. ½áÂÛ

±¾ÎĽ¨ÉèÁËLC-ICPMS²âÊÔ´óÃ×Öй¯ÐÎ̬µÄÆÊÎöÒªÁ죬£¬£¬£¬£¬£¬Ð§¹ûÅú×¢¸ÃÒªÁì¼ì³öÏ޵͡¢²âÊÔЧ¹û׼ȷ£¬£¬£¬£¬£¬£¬Æä¼Ó±ê½ÓÄÉÂÊÔÚ90%~112%Ö®¼ä£¬£¬£¬£¬£¬£¬ÏßÐÔÏà¹ØÏµÊý¾ùÔÚ0.999ÒÔÉÏ£»£» £»£»£»Í¬Ê±¹¯µÄÈýÖÖÐÎ̬Äܹ»ÔÚ8min×óÓÒÍê³É£¬£¬£¬£¬£¬£¬ÇÒÊèÉ¢¶È½ÏºÃ£¬£¬£¬£¬£¬£¬¸ÃÒªÁì¿ÉÖª×ãʳÎïÖдóÃ×ÑùÆ·¹¯ÐÎ̬ÆÊÎöµÄÒªÇó ¡£¡£¡£¡£¡£ ¡£¡£

5.²Î¿¼ÎÄÏ×

 [1] ¹ú¼ÒÎÀÉúºÍÍýÏëÉúÓýίԱ»áÐû²¼ GB 5009.17-2014ʳÎïÇå¾²¹ú¼Ò±ê×¼ ʳÎïÖм׻ù¹¯µÄ²â¶¨ ÒºÏàÉ«Æ×-Ô­×ÓÓ«¹â¹âÆ×ÁªÓÃÒªÁ죬£¬£¬£¬£¬£¬2015 ¡£¡£¡£¡£¡£ ¡£¡£


Ïà¹Ø²úÆ·

ÁªÏµluck18¹ÙÍø

Ïàʶ¸ü¶àÏêϸÐÅÏ¢£¬£¬£¬£¬£¬£¬ÇëÖµç
400-7102-888
·ÇÊÂÇéʱ¼ä·þÎñÈÈÏß
139 1323 1381
¸øÎÒÃÇÁôÑÔ
ÔÚÏßÁôÑÔ
΢ÐÅÊÛºó·þÎñ¶þάÂë

ÍøÕ¾µØÍ¼