luck18¹ÙÍø

ÊÖ³Öʽ¹âÆ×ÒÇÊÖ³ÖʽºÏ½ðÆÊÎöÒǺϽðÆÊÎöÒÇ
¹ÉƱ´úÂ룺300165 ÆóÒµÓÊÏä Ͷ×ÊÕß¹ØÏµ
18ÐÂÀûluck¡¤(Öйú)-¹Ù·½ÍøÕ¾

²¨³¤É«É¢XÓ«¹â¹âÆ×ÒÇ

ÄúÄ¿½ñËùÔÚÒ³£ºÊ×Ò³ > ½â¾ö¼Æ»® > ²¨³¤É«É¢XÓ«¹â¹âÆ×ÒÇ

WDX4000²â¶¨ÍÁÈÀ³Á»ýÎïÖÐÎÞ»úÔªËØÓ¦Óüƻ®

Ðû²¼ÈÕÆÚ£º2018/4/20 16:42:02  µã»÷´ÎÊý£º63635

1.СÐò

2015Äê12ÔÂ14ÈÕ£¬ £¬£¬£¬£¬£¬£¬£¬»·±£²¿Ðû²¼ÁË¡¶HJ 780-2015 ÍÁÈÀºÍ³Á»ýÎïÎÞ»úÔªËØµÄ²â¶¨¡ª¡ª²¨³¤É«É¢XÉäÏßÓ«¹â¹âÆ×·¨¡·£¨ÒÔϼò³Æ¡°HJ 780-2015¡±£©£¬ £¬£¬£¬£¬£¬£¬£¬ÕýʽȷÁ¢ÁËÍÁÈÀÖÐÎÞ»úÔªËØµÄ¼ì²âÒªÁì¡£¡£¡£¡£¡£2016ÄêÖУ¬ £¬£¬£¬£¬£¬£¬£¬¹úÎñÔºÕýʽÏòÉç»á¹ûÕæ¡¶ÍÁÈÀÎÛȾ·ÀÖÎÐж¯ÍýÏë¡·£¨¡°ÍÁÊ®Ìõ¡±£©È«ÎÄ£¬ £¬£¬£¬£¬£¬£¬£¬ÖÜÈ«ÔöÇ¿ÍÁÈÀÎÛȾµÄÖÎÀí¡£¡£¡£¡£¡£ÎªÅäºÏ¹ú¼Ò¿ªÕ¹ÍÁÈÀÄ¥Á·ºÍÖÎÀíÊÂÇ飬 £¬£¬£¬£¬£¬£¬£¬luck18¹ÙÍø£¨ÒÔϼò³Æ¡°luck18¹ÙÍøÒÇÆ÷¡±£©ÍƳöµÄWDX4000ÐͲ¨³¤É«É¢XÉäÏßÓ«¹â¹âÆ×ÒǼ°ÆäÏà¹ØÓ¦ÓÃÒªÁ죬 £¬£¬£¬£¬£¬£¬£¬¿ÉÓÃÓڲⶨÍÁÈÀºÍ³Á»ýÎïÖÐ25ÖÖÎÞ»úÔªËØºÍ7ÖÖÑõ»¯Î £¬£¬£¬£¬£¬£¬£¬Íêȫ֪×ãHJ 780-2015±ê×¼µÄʹÓÃÒªÇ󡣡£¡£¡£¡£

2.ÒÇÆ÷¼ò½é

WDX4000˳Ðòʽ²¨³¤É«É¢XÉäÏßÓ«¹â¹âÆ×ÒÇÊÇluck18¹ÙÍøÒÇÆ÷¼ç¸ºµÄ¹ú¼ÒÖØ´ó¿ÆÑ§ÒÇÆ÷רÏîÏîÄ¿µÄÑо¿Ð§¹û£¬ £¬£¬£¬£¬£¬£¬£¬¾ßÓÐÍêÈ«µÄ×ÔÖ÷֪ʶ²úȨ¡£¡£¡£¡£¡£WDX4000½ÓÄÉÁË´ó×ÚÁ¢ÒìÐÔºÍͨÓû¯µÄÉè¼Æ£¬ £¬£¬£¬£¬£¬£¬£¬ÅäÓÐ40λ×Ô¶¯½øÑùÆ÷£¬ £¬£¬£¬£¬£¬£¬£¬ÐÔÄÜÓÅÒ죬 £¬£¬£¬£¬£¬£¬£¬²Ù×÷ÇáÓ¯¡£¡£¡£¡£¡£

1£©²â½ÇÒÇ£ºÏ¸ÃÜË«Öᣬ £¬£¬£¬£¬£¬£¬£¬¿É³ö¾ß¼ÆÁ¿²¿·ÖУ׼֤Êé¡£¡£¡£¡£¡£

2£©¸ßѹ£º´ó¹¦ÂÊ¡Ý4kW£¬ £¬£¬£¬£¬£¬£¬£¬Çл»Ñ¸ËÙ£¬ £¬£¬£¬£¬£¬£¬£¬ÐÔÄÜÎȹ̣¬ £¬£¬£¬£¬£¬£¬£¬¹ÊÕÏÂʼ«µÍ¡£¡£¡£¡£¡£

3£©¹â¹Ü£ºÏÂÕÕʽ£¬ £¬£¬£¬£¬£¬£¬£¬4kW£¬ £¬£¬£¬£¬£¬£¬£¬Rh°Ð£¬ £¬£¬£¬£¬£¬£¬£¬ÅäÌ×˫ͨµÀ¹â¹ÜË®Àäϵͳ£¬ £¬£¬£¬£¬£¬£¬£¬¼«´óÑÓÉì¹â¹ÜʹÓÃÊÙÃü£»£»£»£»£»£»£»£»

3£©ÂË¹âÆ¬£º5×飬 £¬£¬£¬£¬£¬£¬£¬ÓÅ»¯ÉèÖÃCu¡¢AlÂË¹âÆ¬ºÍ·À³¾ÂË¹âÆ¬£»£»£»£»£»£»£»£»

4£©×¼Ö±Æ÷£º3¸ö£¬ £¬£¬£¬£¬£¬£¬£¬Öª×ã¿Í»§ÔÚÕÉÁ¿Î¢Á¿ÔªËØÊ±£¬ £¬£¬£¬£¬£¬£¬£¬¶ÔÇø·ÖÂʺÍÇ¿¶ÈµÄ×ÅÖØÑ¡Ôñ£»£»£»£»£»£»£»£»

5£©¾§Ì壺±êÅä5¿é¾§Ì壬 £¬£¬£¬£¬£¬£¬£¬Äܹ»Íê³ÉC6¡ªU92Ö®¼äÔªËØ¶¨ÐÔ¡¢¶¨Á¿µÄÆÊÎö£¬ £¬£¬£¬£¬£¬£¬£¬ÉÐÓÐÑ¡3¸ö¿Õλ¿É¹©¶¨ÖÆ£»£»£»£»£»£»£»£»

6£©Ì½²âÆ÷£ºÉÁ×ÆÌ½²âÆ÷£¬ £¬£¬£¬£¬£¬£¬£¬´óÏßÐÔ¼ÆÊýÂÊ3000kcps£¬ £¬£¬£¬£¬£¬£¬£¬Á÷ÆøÌ½²âÆ÷£¬ £¬£¬£¬£¬£¬£¬£¬´óÏßÐÔ¼ÆÊýÂÊ1500kcps£¬ £¬£¬£¬£¬£¬£¬£¬¾ßÓÐоÏß×Ô¶¯Ï´åª¹¦Ð§£»£»£»£»£»£»£»£»

7£©×Ô¶¯½øÑùÆ÷£º40λȫ×ÔÄîͷеÊÖ½øÑùÆ÷£»£»£»£»£»£»£»£»

8£©Ð°æ²Ù×÷Èí¼þ£¬ £¬£¬£¬£¬£¬£¬£¬ÓµÓÐÀíÂÛ a ϵÊýУÕý¡¢ÂÄÀú¦Á¡¢¦Â¡¢¦ÃϵÊýУÕý¡¢FP²ÎÊýУÕý¡¢Æ×ÏßÖØµþУÕý¡¢ÒÇÆ÷״̬¼à¿ØºÍǿʢµÄSqliteרÓÃÊý¾Ý¿âµÈ¹¦Ð§£»£»£»£»£»£»£»£»

9£©¶ÀÍÌÕæ¿ÕÆøÂ·»º³åϵͳ£¬ £¬£¬£¬£¬£¬£¬£¬ÓÐÓñ£»£»£»£»£»£»£»£»¤±¡Ä¤ÐÍÑùÆ·£¬ £¬£¬£¬£¬£¬£¬£¬ÔÚ´óÆø¿ÅÁ£Îï¼ì²âÁìÓòÓ¦ÓÃÆÕ±é¡£¡£¡£¡£¡£

18ÐÂÀûluck¡¤(Öйú)-¹Ù·½ÍøÕ¾

ͼ 1 WDX4000ÒÇÆ÷Íâ¹Ûͼ

3.ʵÑ鲿·Ö

3.1     ʵÑéÔ­Àí

´ó¹¦Âʸßѹ¹â¹Ü·¢Éä³öµÄÔ­¼¶XÉäÏߣ¬ £¬£¬£¬£¬£¬£¬£¬¾­ÓÉÂË¹âÆ¬ºó£¬ £¬£¬£¬£¬£¬£¬£¬ÕÕÉäµ½ÑùÆ·Íâò£¬ £¬£¬£¬£¬£¬£¬£¬Òý·¢³öÑùÆ·Öи÷ÔªËØµÄÌØÕ÷XÉäÏß¡£¡£¡£¡£¡£ÌØÕ÷XÉäÏß¾­ÓÉÒ»´Î×¼Ö±Æ÷×¼Ö±ºóƽÐÐÈëÉäµ½·Ö¹â¾§ÌåÉÏ£»£»£»£»£»£»£»£»ÔÙÓɲâ½ÇÒÇɨÃè³öÇкϲ¼À­¸ñÑÜÉäÌõ¼þµÄÌØÕ÷XÉäÏß¡£¡£¡£¡£¡£XÉäÏß¾­Óɶþ´Î×¼Ö±Æ÷ºó£¬ £¬£¬£¬£¬£¬£¬£¬½øÈë̽²âÆ÷¾ÙÐÐÐźÅÊÕÂÞ¡£¡£¡£¡£¡£Í¨¹ýÅÌËã»úÈí¼þ´¦Öóͷ£ºóʵÏÖ¶¨ÐÔÆÊÎöºÍ¶¨Á¿ÆÊÎö¡£¡£¡£¡£¡£

3.2     ×°±¸ºÍÊÔ¼Á

×°±¸£ºWDX4000£º²¨³¤É«É¢ÐÍXÉäÏßÓ«¹â¹âÆ×ÒÇ£»£»£»£»£»£»£»£»

ÆÊÎöÌìÆ½£º¾«¶È0.1mg£»£»£»£»£»£»£»£»

×Ô¶¯·ÛĩѹƬ»ú£ºÑ¹Á¦30¶Ö£¬ £¬£¬£¬£¬£¬£¬£¬±£Ñ¹Ê±¼ä30s£»£»£»£»£»£»£»£»

·Ç½ðÊôɸ£º¿×¾¶0.075mm£¬ £¬£¬£¬£¬£¬£¬£¬200Ä¿¡£¡£¡£¡£¡£

          ÊÔ¼Á£ºÅðËᣨH3BO3£©£ºÆÊÎö´¿¡£¡£¡£¡£¡£

ÍÁÈÀ±êÑù£ºÊÐÊÛÓÐÖ¤±êÑùGSS1¡ª¡ªGSS27£»£»£»£»£»£»£»£»

3.3     ÑùƷǰ´¦Öóͷ£

ÍÁÈÀÑùÆ·µÄÊÕÂÞºÍÉúÑÄÆ¾Ö¤HJ/T 166Ö´ÐУ¬ £¬£¬£¬£¬£¬£¬£¬³Á»ýÎïÑùÆ·µÄÊÕÂÞºÍÉúÑÄÆ¾Ö¤GB17378.3ºÍGB17378.5Ö´ÐС£¡£¡£¡£¡£ÑùÆ·µÄ·ç¸É»òºæ¸Éƾ֤HJ/5 166¼°GB17378.5Ïà¹Ø»®¶¨¾ÙÐвÙ×÷¡£¡£¡£¡£¡£ÑùÆ·ºæ¸Éºó£¬ £¬£¬£¬£¬£¬£¬£¬¶ÔÑùÆ·¾ÙÐÐÑÐÄ¥£¬ £¬£¬£¬£¬£¬£¬£¬ºó¹ý200Ä¿·Ç½ðÊôɸ£¬ £¬£¬£¬£¬£¬£¬£¬ÓÚ105¡æºæ¸É±¸Óᣡ£¡£¡£¡£

³ÆÁ¿5.0gÑùÆ·ÓÚѹƬ»úÄ£¾ßÖУ¬ £¬£¬£¬£¬£¬£¬£¬ÒÔÅðËáÏâ±ß¡¢µæµ×£¬ £¬£¬£¬£¬£¬£¬£¬ÔÚѹƬ»úÉÏÒÔ30¶ÖѹÁ¦£¬ £¬£¬£¬£¬£¬£¬£¬±£Ñ¹30ÃëµÄÌõ¼þÑ¹ÖÆ³É¡Ý7mmµÄ±¡Æ¬¡£¡£¡£¡£¡£ÖƳÉÈçͼ 2¡¢Í¼ 3µÄ±¡Æ¬¡£¡£¡£¡£¡£ÑùÆ·ÍâòҪƽ»¬£¬ £¬£¬£¬£¬£¬£¬£¬²»¿ÉÓзÛÄ©ÍÑÂä¡£¡£¡£¡£¡£

18ÐÂÀûluck¡¤(Öйú)-¹Ù·½ÍøÕ¾

ͼ2 ѹƬÑùÆ·ÕýÃæÍ¼

18ÐÂÀûluck¡¤(Öйú)-¹Ù·½ÍøÕ¾

ͼ3 ѹƬÑùÆ·²àÃæÍ¼

3.4     ÊÂÇéÇúÏߵĽ¨ÉèºÍÑùÆ·ÕÉÁ¿

ÔÚÅäÌ×Èí¼þÖÐн¨ÍÁÈÀÊÂÇéÇø£¬ £¬£¬£¬£¬£¬£¬£¬ÉèÖÃHJ780-2015ÖÐ25ÖÖÎÞ»úÔªËØºÍ7ÖÖÑõ»¯Î £¬£¬£¬£¬£¬£¬£¬Èí¼þ×Ô¶¯ÌìÉúÿ¸öÔªËØÏìÓ¦µÄ²âÊÔ²ÎÊý£¬ £¬£¬£¬£¬£¬£¬£¬È»ºó¶Ôÿ¸öÔªËØµÄÏÖʵ½Ç¶ÈºÍPHA²ÎÊý¾ÙÐе¥¶ÀÉ趨¡£¡£¡£¡£¡£ÒÇÆ÷²ÎÊýÉ趨Íê³Éºó£¬ £¬£¬£¬£¬£¬£¬£¬¶ÔÓÐÖ¤±êÑùÖðÒ»²âÊÔ£¬ £¬£¬£¬£¬£¬£¬£¬»ñµÃÿ¸öÔªËØµÄ¾»Ç¿¶È£¬ £¬£¬£¬£¬£¬£¬£¬±ã¿É½¨É躬Á¿ÓëÇ¿¶ÈµÄÊÂÇéÇúÏß¡£¡£¡£¡£¡£ÍÁÈÀÒòËØ½ÏÎªÖØ´ó£¬ £¬£¬£¬£¬£¬£¬£¬ÔÚÄâºÏÇúÏßÀú³ÌÖУ¬ £¬£¬£¬£¬£¬£¬£¬Ðí¶àÔªËØÖ®¼ä±£´æÏ໥×ÌÈÅ£¬ £¬£¬£¬£¬£¬£¬£¬ÐèÒª¶ÔÆä×÷»ùÌå¡¢Æ×ÏßÖØµþµÈУÕý»ò½ÓÄÉÄڱ귨µÈÊÖ¶ÎÖØÐÂÄâºÏÇúÏߣ¬ £¬£¬£¬£¬£¬£¬£¬»ñµÃÓÅÒìµÄÏßÐÔ¹ØÏµÇúÏß¡£¡£¡£¡£¡£È»ºó¶ÔÑùÆ·¾ÙÐмì³öÏÞ¡¢×¼È·¶ÈºÍÎȹÌÐԵȷ½ÃæµÄ²âÊÔ¡£¡£¡£¡£¡£

4.       ²âÊÔЧ¹û

4.1     ¼ì³öÏÞ

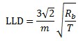
ƾ֤ËùÓÅ»¯µÄʵÑéÌõ¼þ£¬ £¬£¬£¬£¬£¬£¬£¬ÍÁÈÀÑùÆ·Öи÷ÆÊÎöÔªËØµÄ¼ì³öÏÞÈç REF _Ref511912484 \h ±í 1£¬ £¬£¬£¬£¬£¬£¬£¬¼ì³öÏÞµÄÊýѧ±í´ïʽΪ£º

18ÐÂÀûluck¡¤(Öйú)-¹Ù·½ÍøÕ¾

ʽÖУºmΪµ¥Î»º¬Á¿µÄ¼ÆÊýÂÊ£»£»£»£»£»£»£»£»RbΪÅä¾°¼ÆÊýÂÊ£»£»£»£»£»£»£»£»TΪ·åÖµºÍÅä¾°µÄ×ÜÕÉÁ¿Ê±¼ä£¨s£©¡£¡£¡£¡£¡£Óɱí¿É¼û£¬ £¬£¬£¬£¬£¬£¬£¬ÎÞÂÛÊÇÑõ»¯ÎïÕվɺ¬Á¿¼«µÍÎÞ»úÔªËØ£¬ £¬£¬£¬£¬£¬£¬£¬¾ùÖª×ãHJ780-2015±ê×¼ÖжÔÍÁÈÀ¼ì³öÏ޵Ļ®¶¨¡£¡£¡£¡£¡£¼ì³öÏÞ±ê×¼¼û±ê×¼¸½Â¼A¡£¡£¡£¡£¡£

±í 1¼ì³öÏÞ²âÊÔЧ¹û

ÐòºÅ

ÔªËØ/Ñõ»¯Îï

¼ì³öÏÞ

¼ì³öÏÞ±ê×¼

ÅжÏ

ÐòºÅ

ÔªËØ/Ñõ»¯Îï

¼ì³öÏÞ

¼ì³öÏÞ±ê×¼

ÅжÏ

1

Na2O

0.0468

0.05

¼°¸ñ

17

Ni

1.16

1.5

¼°¸ñ

2

MgO

0.0444

0.05

¼°¸ñ

18

Cu

1.08

1.2

¼°¸ñ

3

Al2O3

0.0632

0.07

¼°¸ñ

19

Zn

1.92

2

¼°¸ñ

4

SiO2

0.158

0.27

¼°¸ñ

20

Ga

1.52

2

¼°¸ñ

5

P

8.05

10

¼°¸ñ

21

As

1.78

2

¼°¸ñ

6

S

26.37

30

¼°¸ñ

22

Br

0.89

1

¼°¸ñ

7

Cl

18.52

20

¼°¸ñ

23

Rb

1.83

2

¼°¸ñ

8

K2O

0.0412

0.05

¼°¸ñ

24

Sr

1.90

2

¼°¸ñ

9

CaO

0.0816

0.09

¼°¸ñ

25

Y

0.81

1

¼°¸ñ

10

Sc

2.28

2.4

¼°¸ñ

26

Zr

1.89

2

¼°¸ñ

11

Ti

48.15

50

¼°¸ñ

27

Ba

8.63

11.7

¼°¸ñ

12

V

3.36

4

¼°¸ñ

28

La

9.82

10.6

¼°¸ñ

13

Cr

2.88

3

¼°¸ñ

29

Ce

23.85

24.1

¼°¸ñ

14

Mn

6.46

10

¼°¸ñ

30

Hf

1.52

1.7

¼°¸ñ

15

Fe2O3

0.0432

0.05

¼°¸ñ

31

Pb

1.73

2

¼°¸ñ

16

Co

1.09

1.6

¼°¸ñ

32

Th

1.74

2.1

¼°¸ñ

×¢£º1.ÔªËØÖÊÁ¿·ÖÊýµ¥Î»Îªmg/kg£»£»£»£»£»£»£»£»Ñõ»¯ÎïÖÊÁ¿·ÖÊýµ¥Î»Îª%£»£»£»£»£»£»£»£»

4.2     ׼ȷ¶È

ƾ֤±ê×¼ÒªÇó£¬ £¬£¬£¬£¬£¬£¬£¬¶ÔÿÅúÑùÆ·ÆÊÎöÓ¦ÖÁÉٲⶨ1¸öÍÁÈÀ»ò³Á»ýÎïµÄÓÐÖ¤±ê×¼ÎïÖÊ£¬ £¬£¬£¬£¬£¬£¬£¬Æä²â¶¨ÖµÓëÓÐÖ¤±ê×¼ÎïÖʵÄÏà¶ÔÎó²î±ØÐèÖª×ã¶ÔÓ¦Ìõ¼þ¡£¡£¡£¡£¡£×¼È·¶ÈÅжϱê×¼¼ûHJ780-2015±ê×¼Öбí1¡£¡£¡£¡£¡£Ñ¡ÔñÓÐÖ¤±ê×¼ÎïÖÊGBW07408£¨GSS-8£©×÷׼ȷ¶È²âÊÔ¡£¡£¡£¡£¡£²âÊÔЧ¹ûÈç REF _Ref511912462 \h ±í 2¡£¡£¡£¡£¡£±íÖÐËùÅÌËã´ó²¿·Ö׼ȷ¶ÈЧ¹û¾ùÔ¶µÍÓÚHJ780-2015ÖÐÃé׼ȷ¶ÈµÄÖ¸±êÖµ¡£¡£¡£¡£¡£

±í׼ȷ¶È²âÊÔЧ¹û

ÐòºÅ

ÔªËØ/Ñõ»¯Îï

ÕÉÁ¿Öµ

±ê×¼Öµ

׼ȷ¶È

Åжϱê×¼

ÅжÏ

1

Na2O

1.76

1.72

0.00998

0.07

¼°¸ñ

2

MgO

2.348

2.38

0.0058

0.07

¼°¸ñ

3

Al2O3

11.62

11.92

0.011

0.05

¼°¸ñ

4

SiO2

58.93

58.61

0.0023

0.05

¼°¸ñ

5

P

791.31

775

0.009

0.1

¼°¸ñ

6

S

116.986

120

0.011

0.1

¼°¸ñ

7

Cl

87.344

70

0.096

0.1

¼°¸ñ

8

K2O

2.52

2.42

0.0175

0.07

¼°¸ñ

9

CaO

8.248

8.27

0.00115

0.07

¼°¸ñ

10

Sc

11.126

11.7

0.0218

0.1

¼°¸ñ

11

Ti

3642.136

3835.8

0.0225

0.1

¼°¸ñ

12

La

31.274

35.5

0.055

0.1

¼°¸ñ

13

Ba

444.23

480

0.0336

0.1

¼°¸ñ

14

V

72.55

81.4

0.0499

0.1

¼°¸ñ

15

Ce

56.1

66

0.0706

0.12

¼°¸ñ

16

Mn

659.448

650

0.0063

0.1

¼°¸ñ

17

Cr

69.66

68

0.0105

0.1

¼°¸ñ

18

Fe2O3

4.186

4.48

0.0295

0.07

¼°¸ñ

19

Co

14.174

12.7

0.0477

0.1

¼°¸ñ

20

Ni

28.692

31.5

0.0405

0.1

¼°¸ñ

21

Hf

7.164

7

0.01005

0.1

¼°¸ñ

22

Cu

25.49

24.3

0.0207

0.1

¼°¸ñ

23

Zn

68.144

68

0.00092

0.1

¼°¸ñ

24

Ga

15.54

14.8

0.0212

0.1

¼°¸ñ

25

As

15.096

12.7

0.075

0.1

¼°¸ñ

26

Br

2.102

2.6

0.092

0.12

¼°¸ñ

27

Pb

18.376

21

0.058

0.1

¼°¸ñ

28

Th

14.842

11.8

0.0996

0.1

¼°¸ñ

29

Rb

94.03

96

0.009

0.1

¼°¸ñ

30

Sr

236.892

236

0.0016

0.1

¼°¸ñ

31

Y

28.196

26

0.035

0.1

¼°¸ñ

32

Zr

243.124

229

0.026

0.1

¼°¸ñ

×¢£ºÔªËØÖÊÁ¿·ÖÊýµ¥Î»Îªmg/kg£»£»£»£»£»£»£»£»Ñõ»¯ÎïÖÊÁ¿·ÖÊýµ¥Î»Îª%¡£¡£¡£¡£¡£

4.3     ÎȹÌÐÔ

Ñ¡ÔñijÑùÆ·¾ÙÐÐÎȹÌÐÔ²âÊÔ¡£¡£¡£¡£¡£ÌìÌì²âÊÔÒ»´Î£¬ £¬£¬£¬£¬£¬£¬£¬Ò»Á¬²âÊÔÁ½ÖÜ£¬ £¬£¬£¬£¬£¬£¬£¬²âÊÔËùÓÐÔªËØµÄÏà¶Ô±ê×¼Îó²î¾ùÖª×ã±ê×¼HJ780-2015ÖйØÓÚÎȹÌÐÔµÄÒªÇ󡣡£¡£¡£¡£ÕªÈ¡²¿·Ö²âÊÔÊý¾ÝÁÐÓÚ±í 3¡£¡£¡£¡£¡£Åжϱê×¼¼ûHJ780-2015±ê×¼Öи½Â¼E.1¡£¡£¡£¡£¡£

±í3 ²¿·ÖÔªËØÎȹÌÐÔ²âÊÔÊý¾Ý

´ÎÊý\ÔªËØ

MgO

Fe2O3

P

S

Cl

As

Br

Pb

1

1.80

4.21

783.74

157.86

46.21

16.77

2.49

4.34

2

1.79

4.21

778.44

161.03

46.94

17.82

2.76

4.49

3

1.78

4.19

786.01

159.13

45.98

15.58

2.59

4.73

4

1.79

4.21

786.01

161.66

45.16

17.05

2.49

4.31

5

1.78

4.21

781.47

154.05

46.9

17.37

2.62

4.61

6

1.78

4.22

784.50

157.22

47.81

16.97

2.78

4.35

7

1.79

4.21

788.28

155.32

44.98

16.31

2.64

4.53

8

1.78

4.22

792.07

159.13

48.16

18.06

2.78

4.41

9

1.79

4.20

790.55

161.66

45.07

15.64

2.68

4.28

10

1.78

4.20

779.20

160.41

46.63

17.01

2.82

4.32

ƽ¾ùÖµ

1.78

4.21

785.70

158.74

46.38

16.66

2.67

4.44

±ê×¼Îó²î

0.007

0.009

4.53

2.63

1.11

1.02

0.12

0.15

RSD(%)

0.39

0.22

0.58

1.66

2.40

6.10

4.50

3.35

Åжϱê×¼

¡Ü0.4

¡Ü0.9

¡Ü1.2

¡Ü4.6

¡Ü2.6

¡Ü9.2

¡Ü8.3

¡Ü4.4

ÅжÏ

¼°¸ñ

¼°¸ñ

¼°¸ñ

¼°¸ñ

¼°¸ñ

¼°¸ñ

¼°¸ñ

¼°¸ñ

×¢£ºÔªËØÖÊÁ¿·ÖÊýµ¥Î»Îªmg/kg£»£»£»£»£»£»£»£»Ñõ»¯ÎïÖÊÁ¿·ÖÊýµ¥Î»Îª%¡£¡£¡£¡£¡£

5.  ½áÂÛ

¼Æ»®Ê¹ÓÃWDX4000»®·Ö¶ÔÍÁÈÀ³Á»ýÎïÖÐÎÞ»úÔªËØ¾ÙÐÐÁ˼ì³öÏÞ¡¢×¼È·¶È¡¢ÎȹÌÐÔµÈÏîÄ¿µÄ²âÊÔ¡£¡£¡£¡£¡£²âÊÔЧ¹ûÅú×¢WDX4000Íêȫ֪×ã»·±£²¿¡¶HJ 780-2015 ÍÁÈÀºÍ³Á»ýÎïÎÞ»úÔªËØµÄ²â¶¨¡ª¡ª²¨³¤É«É¢XÉäÏßÓ«¹â¹âÆ×·¨¡·±ê×¼µÄÒªÇó£¬ £¬£¬£¬£¬£¬£¬£¬ÍêÈ«¿ÉÓ¦ÓÃÓÚ»·±£²¿·Ö£¨ÍÁÈÀÖÊÁ¿×´Ì¬µÄÆÊÎöÓëÆÀ¹À£©¡¢ÍÁÈÀÖÎÀíÐÞ¸´ÆóÒµ£¨Îª½ÓÄɾßÓÐÕë¶ÔÐÔµÄÖÎÀí¼Æ»®Ìṩ¿É¿¿Êý¾Ý£©¡¢µÚÈý·½¼ì²â»ú¹¹µÈÏà¹Ø²¿·ÖÆóÒµ¡£¡£¡£¡£¡£

Ïà¹Ø²úÆ·

ÉÏһƪ£ºÄÍ»ðÖÊÁÏÐÐÒµÓ¦Óýâ¾ö¼Æ»®
ÏÂһƪ£ºÃ»ÓÐÁË

ÁªÏµluck18¹ÙÍø

Ïàʶ¸ü¶àÏêϸÐÅÏ¢£¬ £¬£¬£¬£¬£¬£¬£¬ÇëÖµç
400-7102-888
·ÇÊÂÇéʱ¼ä·þÎñÈÈÏß
139 1323 1381
¸øÎÒÃÇÁôÑÔ
ÔÚÏßÁôÑÔ
΢ÐÅÊÛºó·þÎñ¶þάÂë

ÍøÕ¾µØÍ¼